3+证书本科校测成绩汇总,有的院校过线录取率高达100%!
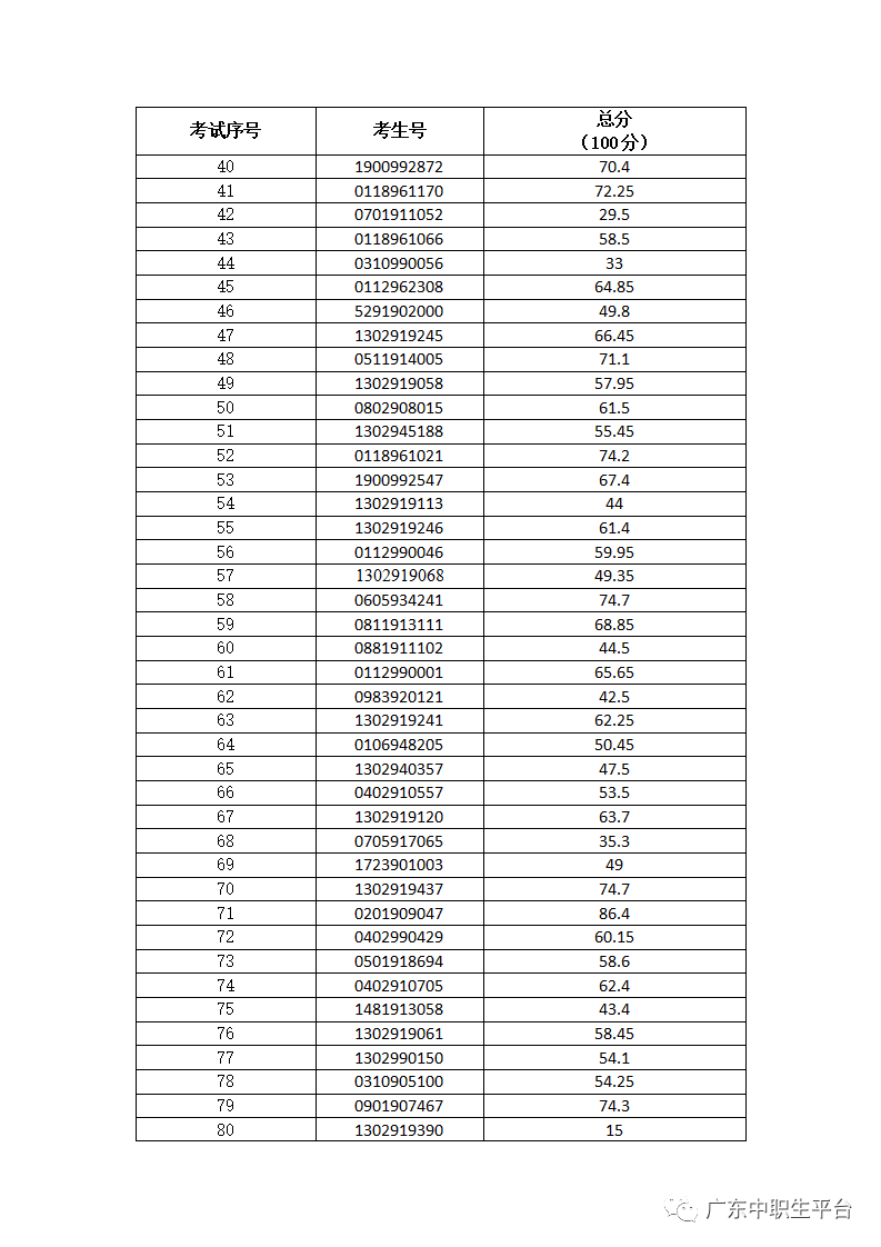
韶关学院招收中职毕业生护理学本科专业职业技能测试工作已结束,其中职业技能测试合格线为53.00分(满分100分),共97人达到测试合格线以上。
考生成绩如下
(请滑动查看)
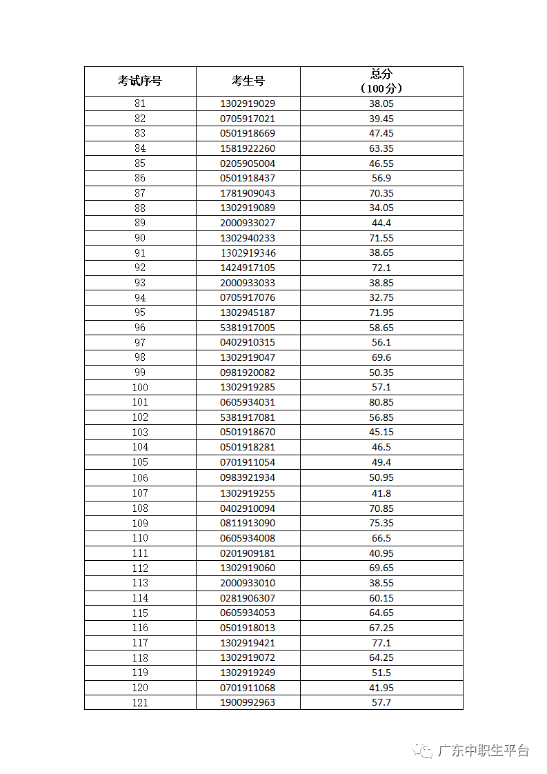
考生成绩如下
(请滑动查看)
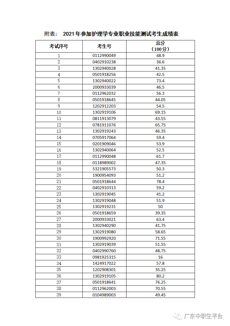
岭南师范学院招收中职毕业生护理学本科专业职业技能测试工作已结束,共118人测试合格线,仅1人测试不合格。
考生成绩如下
(请滑动查看)
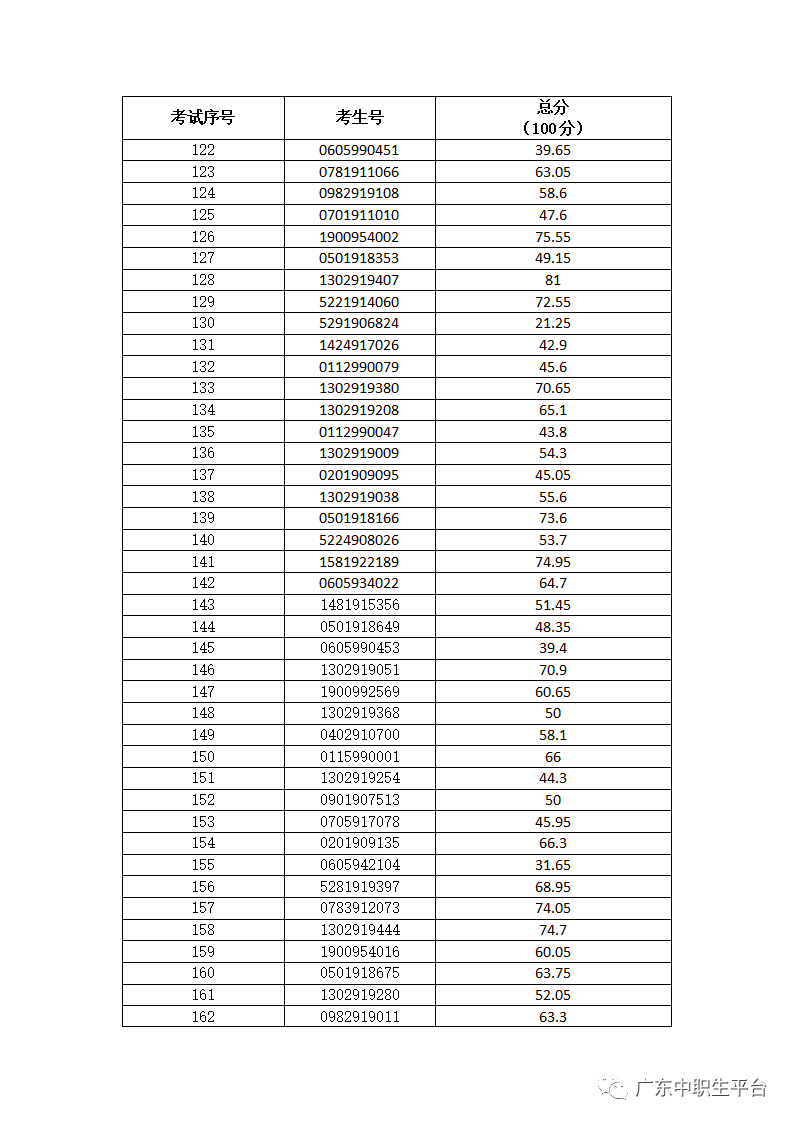
广东白云学院招收中职毕业生护理学本科专业职业技能测试工作已结束,共94人合格。其中机械设计制造与自动化招50人,仅19人通过专业技能测试,只要这19名考生符合录取条件,很大概率是被录取啦!
考生成绩如下
(请滑动查看)
来源:各校官网


